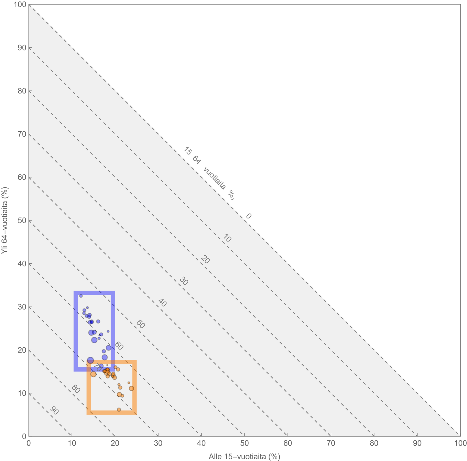
Hyvinvointialuiden ikärakenne 1990 ja 2021

Hyvinvointialuiden vanhushuoltosuhde 1990 ja 2021